有机合成系列 | 缩合反应:羟醛缩合(Aldol condensation)
有机合成系列 | 缩合反应:羟醛缩合(Aldol condensation)

[概念]
含有a-氢原子的醛或酮在催化剂作用下,生成b-羟基醛、酮的反应,称为羟醛缩合,也叫醇醛缩合。该反应通常在碱催化下进行,有时也在酸催化下进行。
[反应通式]

[反应机理]
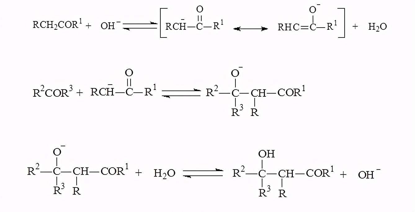
碱催化反应机理:

酸催化反应机理:

缩合产物b-羟基醛、酮通常经酸催化脱水,或在加热下脱水,生成a、b-不饱和醛、酮。

[反应中应注意的问题]
羟醛缩合反应中醛与不含a-氢原子的醛进行缩合时,需要控制碱的强度,以免发生Cannizzaro反应。
羟醛缩合反应是可逆反应。
羟醛缩合反应广泛用于有机合成,它是增长碳链一种有效方法。二醛及二酮进行分子内羟醛缩合,可制取环状化合物,特别是五元环和六元环状化合物,此类反应可用于萜及甾族化合物的合成。
[反应实例]

-
- 技术大佬神仙操作!手绘车牌竟能骗过电子识别系统
-
2026-04-12 06:30:53
-
- 广东中学排名格局变天,深圳崛起,广州衰落附图为广东各名牌中
-
2026-04-12 06:28:39
-
- 港媒:香港特区前行政长官曾荫权刑满获释
-
2026-04-12 06:26:24
-
- 发型纹理烫男生图片 彰显十足时尚潮男本色
-
2026-04-12 06:24:10
-
- ipad查找我的ipad怎么开启
-
2026-04-12 06:21:56
-
- 38岁的女人征婚惹争议,男人直接吓跑了!
-
2026-04-12 06:19:41
-
- 【高清无水印】景甜绝美手机壁纸合集(16张)
-
2026-04-12 06:17:27
-
- 执业医师考试流程详解
-
2026-04-12 06:15:13
-
- 西安未央法院:你的装修钥匙放在哪里?
-
2026-04-12 06:12:58
-
- 天津北辰郊野公园发生事故致3死5伤 伤者已送医
-
2026-04-12 06:10:44
-
- 今天中国航海日,这些船舶你都认识吗?
-
2026-04-11 23:12:22
-
- 花15000元才能解锁银行卡密码?民警识破骗局后,骗子气急败坏
-
2026-04-11 23:10:08
-
- 车辆“贴膜改色”是否违法?
-
2026-04-11 23:07:53
-
- “关原食神”吉川广家
-
2026-04-11 23:05:39
-
- 贞丰启动绣娘计划培训
-
2026-04-11 23:03:25
-
- 孙允珠交叉V领荷叶摆吊带橘色上衣图集
-
2026-04-11 23:01:10
-
- 是啥生物?美国德州动物园外拍到半人半兽影像引热议
-
2026-04-11 22:58:56
-
- 如何查找中老年人免费交友网?
-
2026-04-11 22:56:42
-
- 彭州湔江河谷惊现“娃娃鸡”,鸣叫时像小孩啼哭
-
2026-04-11 22:54:27
-
- 京门穴:健脾通淋,温阳益肾
-
2026-04-11 22:52:13



韩国网友问:中国的领土面积是怎么变得今天这么大的?
全国34个省级行政区名称和来历
86版《西游记》40年了,10位演员已去世,各个值得敬佩,最小27岁
瑞士最大的城市苏黎世
如何制作一个短视频
四川瓦屋山“迷魂凼”,被称为国内禁地之首,进去的人无一生还
养什么植物可以净化空气好养又净化空气的植物 好养又净化空气的植物有哪些
马云也去开会了,不过他的座位有点意思,都快到最边上了!
大象漫步秀出强国风范,中国空军是否有实力与美国抗衡。
跌宕起伏的中日关系之:5分钟了解日本简史