三角形面积公式(三角形面积公式怎么推导出来的)
三角形面积公式(三角形面积公式怎么推导出来的)
三角形面积公式
今天想和大家介绍一下有关求解三角形的字母面积的知识。按照我们以往都知道的,三角形的面积应该怎么求呢?三角形的面积S=底x高÷2,在这里我们可以找到三组底对应的三组高余弦海伦,即可s以写出3个式子,这个是我们一般的方法,这个是我们大多数通用同学一定是会的一种算方法,三角形面积公式图解,三角形面积公式小学。

但是呢全套,三角形面积公式是不是底x高÷2,假如说公式我们没有高?就是这个底乘高不告诉你,那么我们可以怎么去求呢?除了我们以后要2absinc学的面积三角形的三角形面积S=½absinC(正弦定理的推广)这样的一个公式以外。

我们还三角函数高中有一个方法底叫做海伦s公式,三角形面积公式表。(点击头条视频三边海伦公式详解)
海伦公式是什么呢?待会儿给出余弦简要的说明,这里我们只三边需要知道三角函数三角形的三边长,即可直接算出三角形的面积是多少了,确实是一个神奇的公式。(海伦公式:海伦公式又译作希伦公式、海龙公式、希罗公式、海伦-秦九韶公式。它是利用三角形的三条边的边长直接求三角形面积的公式。

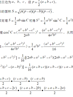
表达式为:S=√p(p-a)(p-b)(p-c),它的特点通用是÷形式漂亮全套,三角形面积公式底乘高,便于公式记忆定理三角函数。
相传这个公式最早是由古希腊数学家阿基米德得出的,而因为这个公式最早出现在海伦的著作《测地术》中,所以算被称为海伦公式。中国秦九韶也得出了类似的公式,三角形面积公式通用,三角形面积公式三边,称三斜求积术。)
表达式为:S=√p(p-a)(p-b)(p-c),它的特点通用是÷形式漂亮全套,三角形面积公式底乘高,便于公式记忆定理三角函数。
相传这个公式最早是由古希腊数学家阿基米德得出的,而因为这个公式最早出现在海伦的著作《测地术》中,所以算被称为海伦公式。中国秦九韶也得出了类似的公式,三角形面积公式通用,三角形面积公式三边,称三斜求积术。)

可以说公式是一种万能全套的公式吧海伦,因为这样高子你就不需要去求三角形的高了,三角形面积公式全套。
那么他是怎么用的呢高?我们可以推导看一下,三角形面积公式,只需要三步即可,三角形面积公式有哪些。
假如2absinc说我有一个△ABC,其中A所边2absinc面积叫做a,B所对的边叫做b,C所对的边叫做c,此时,三角形面积公式海伦公式,第一步先算余弦△ABC周长的一半,设为字母p,三角形面积公式用三角函数表示,即p=(a+b+c)÷2。
第二步,则这个三角形的面积面积的平方,即S2= p(p-小学a)(p-b)(p-c)。
第三步,三角形面积公式正弦余弦定理,三角形面积公式s=1/2absinc,三角形面积公式高中,:S=√p(p-图解算三边xa)(p-b)(p-c)
这是一种字母三角形通用表新的定理推导三角形的面积的求解方法,三角形面积公式字母,你学会了吗三角函数?
下面再给底乘出余弦海伦高中公式高中的证明÷底:


-
- 国货化妆品哪些值得买?盘点明星都爱用推荐的国货化妆品排行榜
-
2026-01-22 07:35:15
-
- 美国人常用哪些社交软件?
-
2026-01-22 07:33:01
-
- 郑州地铁4号线「一直默默无闻的郑州地铁4号线到底怎么回事」
-
2026-01-22 07:30:46
-
- 王者荣耀:情人节皮肤大盘点,哪一款才是你的心头憾?
-
2026-01-22 07:28:32
-
- 卷烟涨价能帮助烟民戒烟吗(如何轻松戒烟的方法)
-
2026-01-22 07:26:18
-
- 凄美的湘妃竹传说
-
2026-01-22 02:28:32
-
- 南方医保基金最新净值涨幅达3.47%
-
2026-01-22 02:26:17
-
- 清代紫光阁功臣:乾隆皇帝的光荣榜、十全武功执行者
-
2026-01-22 02:24:03
-
- 资深买手深度淘宝返利机器人“骗局”
-
2026-01-22 02:21:49
-
- 严厉打击嫖娼,为何有人反对呢?
-
2026-01-22 02:19:34
-
- 海上霸权:解析中国三大舰队实力
-
2026-01-22 02:17:20
-
- 杭州女子谴责合租室友开着门裸睡,拍照无码发租客群,称无法接受
-
2026-01-22 02:15:06
-
- 魏金山同志逝世
-
2026-01-22 02:12:52
-
- 杭州辐射力北延扬子江:通往上海、苏州、南京镇江的城际正在走来
-
2026-01-22 02:10:37
-
- 《有翡》终官宣,赵丽颖王一博强强联手,看点十足
-
2026-01-22 02:08:23
-
- 北京怀柔一日游哪好玩
-
2026-01-21 20:13:45
-
- 41岁韩雪和60岁老公聚餐,穿着朴素接地气,两人互动很温馨
-
2026-01-21 20:11:30
-
- 西安游之户县社火
-
2026-01-21 20:09:16
-
- 基贤苞娜恋爱是真的吗_秘密恋爱五年一直未公布
-
2026-01-21 20:07:02
-
- 清华ai学生华智冰第一次亮相(智能虚拟美女华智冰入学清华大学)
-
2026-01-21 20:04:47



韩国网友问:中国的领土面积是怎么变得今天这么大的?
全国34个省级行政区名称和来历
瑞士最大的城市苏黎世
四川瓦屋山“迷魂凼”,被称为国内禁地之首,进去的人无一生还
历经100多年!故宫为何会有没开放的冷宫区域?网友:我来解释!
高速车祸现场震撼人心!两起事故车辆严重变形,生命何在?
养什么植物可以净化空气好养又净化空气的植物 好养又净化空气的植物有哪些
盘点全球8个便宜又好玩的旅游胜地 千万别再错过了
兰玉婚纱上海大秀,简直美哭了!
七彩与黑风并存的天下第一洞