王宠小楷《乐毅论》
2025-12-31 15:43 来源:网络 点击:
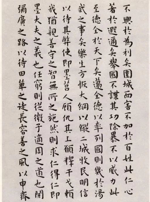
王宠小楷《乐毅论》
王宠(1494-1533),明代书法家。字履仁、履吉,号雅宜山人,吴县(今属江苏苏州)人。为邑诸生,贡入太学。王宠博学多才,工篆刻,善山水、花鸟,他的诗文在当时声誉很高,而尤以书名噪一时,书善小楷,行草尤为精妙。为明代中叶著名的书法家。著有《雅宜山人集》,传世书迹有《诗册》、《杂诗卷》、《千字文》、《古诗十九首》、《李白古风诗卷》等。






相关标签:
-
- 起名鬼才❗笑死的沙雕群名
-
2025-12-31 15:40:58
-
- 360度无死角的精致美人陈都灵
-
2025-12-31 09:37:32
-
- “卑鄙”你读你对了吗?
-
2025-12-31 09:35:17
-
- 鐐哥伀鑵胯偁
-
2025-12-31 09:33:03
-
- 亚运会男篮名单公布:小丁周琦回归,姚明担任领队
-
2025-12-31 09:30:49
-
- 天下第一石---灵璧石
-
2025-12-31 09:28:35
-
- 陕西黄蜡石,20-30cm小黄蜡石图片
-
2025-12-31 09:26:20
-
- 如梦如幻西河公园
-
2025-12-31 09:24:06
-
- 广东各地寒假时间确定啦!
-
2025-12-31 09:21:52
-
- 古早日漫巅峰之作《圣传》
-
2025-12-31 09:19:38
-
- 迪迦奥特曼绘画教程,简单又好看
-
2025-12-31 09:17:23
-
- 周星驰年轻时的一组罕见旧照,大长腿露脐装短裤超性感
-
2025-12-31 03:05:10
-
- 西南地区首条高速铁路客运专线——成绵乐城际铁路
-
2025-12-31 03:02:55
-
- 我们的身份证其实哪面才是正面?有国徽的一面还是有照片的一面
-
2025-12-31 03:00:41
-
- 我国在南极建立四大科考站
-
2025-12-31 02:58:27
-
- 倪萍年轻时的美照,比陈红还要美,腹有诗书气自华
-
2025-12-31 02:56:12
-
- 假笑男孩表情包合集|举止端庄,丝毫不慌
-
2025-12-31 02:53:58
-
- 胡先煦女朋友是谁?军训时期就给拿下了
-
2025-12-31 02:51:44
-
- 海贼王 大将藤虎的过去 不为人知的秘密
-
2025-12-31 02:49:30
-
- 鬼吹灯之精绝古城在哪儿拍摄的?鬼吹灯之精绝古城拍摄地取景地介绍
-
2025-12-31 02:47:15



韩国网友问:中国的领土面积是怎么变得今天这么大的?
全国34个省级行政区名称和来历
四川瓦屋山“迷魂凼”,被称为国内禁地之首,进去的人无一生还
历经100多年!故宫为何会有没开放的冷宫区域?网友:我来解释!
瑞士最大的城市苏黎世
养什么植物可以净化空气好养又净化空气的植物 好养又净化空气的植物有哪些
高速车祸现场震撼人心!两起事故车辆严重变形,生命何在?
盘点全球8个便宜又好玩的旅游胜地 千万别再错过了
七彩与黑风并存的天下第一洞
跌宕起伏的中日关系之:5分钟了解日本简史